
R&D et Design Industriel de Produits Acoustiques
Sil&Add
Imprimer le Silence
VOTRE BESOIN
Vos produits méritent l'excellence acoustique


Un produit de haute qualité est un produit dont les propriétés acoustiques ont été pensées et travaillées pour répondre aux exigences croissantes des clients.
NOS SERVICES
Nous optimisons l'acoustique de votre produit
Simuler et mesurer l'acoustique de votre produit
Modélisation éléments finis via le logiciel Comsol Multiphysics
Mesures par sonomètre de Classe 1
Intégrer les matériaux les mieux adaptés à votre produit
Choix des composants et des matériaux acoustiques basé sur :
la modélisation et l'optimisation numériques,
le prototypage,
la connaissance des fournisseurs
Concevoir une solution acoustique innovante rien que pour vous
Vous souhaitez développer un nouveau produit acoustique ?
Confiez-nous sa conception :
sur mesure selon votre cahier des charges,
intégrant les dernières avancées en matériaux et métamatériaux acoustiques,
optimisée numériquement






Ils nous font confiance













Modélisation acoustique de l'intérieur d'un matériau poreux
Modélisation acoustique en champ diffus et optimisation d'un produit in situ
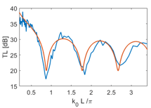
Modélisation analytique VS numérique d'un conduit


Conception et prototypage d'un panneau acoustique microperforé à 2 résonateurs




Conception et industrialisation d'une entrée d'air acoustique lavable
Suivi de l'industrialisation par injection plastique






Conception numérique (CAO) pour injection plastique
Prototypage par impression 3D d'un casque anti-bruit
Invention et impression 3D d'un matériau acoustique à la résistivité sur mesure
Exemples de projets réalisés




Modélisation acoustique de l'intérieur d'un matériau poreux
Modélisation acoustique en champ diffus et optimisation d'un produit in situ


Conception et prototypage d'un panneau acoustique microperforé à 2 résonateurs




Conception numérique (CAO) d'un casque anti-bruit
Suivi de l'industrialisation par injection plastique
Exemples de projets réalisés


Années de recherche publique et privée en acoustique
Publique : LAUM UMR CNRS 6613, LAVA Polytechnique Montréal
Privée : Sil&Add
Citations des articles de recherche
Brevets
Déposants : Université du Mans, CNRS, Safran AE, Sil&Add
Jean BOULVERT, président de Sil&Add
Comsol Certified Consultant
Nous maîtrisons la modélisation Acoustique et Mécanique des matériaux et produits par la méthode des éléments finis via le logiciel Comsol Multiphysics.
L'éditeur a confiance en notre expertise et nous recommande.
Marque de cette confiance, il nous a labellisé "Comsol Certified Consultant".
Crédit d'impôt recherche (CIR)
Le Ministère chargé de l'Enseignement supérieur et de la recherche reconnait notre compétence pour effectuer des travaux de R&D pour le compte d’entreprises en qualité de sous-traitant.
Les opérations de recherche ou d'innovation qui nous sont confiées peuvent donc bénéficier d'un crédit d'impôt pour les dépenses engagées.






